Mastering Trigonometry: How to Evaluate Cot 45° using Ratios in a Reference Triangle Without a Calculator
Evaluating Cot 45° Without Using A Calculator By Using Ratios In A Reference Triangle
Do you struggle with evaluating trigonometric functions without a calculator? Are you intimidated by the task of finding the cotangent of 45 degrees without any external help? Well, fear not! With the help of ratios in a reference triangle, you can easily determine the value of cot 45 degrees. Read on to find out how!
Firstly, let's refresh your memory about what cotangent is. Cotangent is the ratio of the adjacent leg to the opposite leg of a right triangle. In other words, it is the reciprocal of the tangent function. In terms of the unit circle, cotangent is the x-coordinate divided by the y-coordinate of the point on the circle.
Now, let us consider a reference triangle that has a 45-degree angle. This is an isosceles triangle with two sides of equal length, forming two 45-degree angles. Since this is a right triangle, we can use Pythagoras' theorem to determine the length of the hypotenuse. Let us assume that the two legs have a length of 1 unit each:

Using Pythagoras' theorem, we find that the hypotenuse has a length of √2 units:
a² + b² = c²
1² + 1² = (c)²
2 = c²
c = √2
We know that cotangent is the ratio of the adjacent leg to the opposite leg. In this case, both legs are equal, so we can simply divide one leg by the other:
cot 45° = adjacent/opposite
cot 45° = 1/1
cot 45° = 1
So, the value of cotangent of 45 degrees is 1. You might wonder how we arrived at this conclusion without a calculator. The answer lies in understanding the ratios of the sides of a reference triangle.
In general, it is helpful to remember the ratios of the sides of common reference triangles: the 30-60-90 triangle and the 45-45-90 triangle. These ratios are derived from the Pythagorean theorem and their values remain consistent regardless of the size of the triangle:

By memorizing these ratios, you can easily find the values of the trigonometric functions for angles that correspond to these reference triangles. For example, if you know that the sin 30° is 1/2 and the cos 30° is √3/2, you can easily calculate the tangent of 30 degrees as sin/cos or (1/2) / (√3/2) which simplifies to √3/3.
So, if you're struggling with evaluating trigonometric functions without a calculator, don't worry! By using ratios in a reference triangle, you can easily determine the values of sine, cosine, and tangent for common angles. And now, with the help of this article, you can add cotangent to that list!
To summarize, evaluating cot 45° without using a calculator is simple once you understand the ratios of a reference triangle. By creating a reference triangle with legs of equal length and finding the ratio of the adjacent to the opposite leg, we get a value of 1 for cotangent. So, the next time you're faced with a similar problem, just remember the power of ratios in a reference triangle!
"Evaluate Cot 45° Without Using A Calculator By Using Ratios In A Reference Triangle." ~ bbaz
Evaluate Cot 45° Without Using A Calculator By Using Ratios In A Reference Triangle
Trigonometry is a branch of mathematics that deals with the relations between the sides and angles of triangles. One of the most important concepts in trigonometry is the ratio of the sides of a right triangle. These ratios are defined as trigonometric functions, such as sine, cosine, tangent, and cotangent. We use these functions to solve various problems in fields like physics, engineering, and architecture.
When it comes to evaluating trigonometric functions without using a calculator, one approach is to use trigonometric identities and formulas. Another approach is to use reference triangles, which are triangles with special angles and sides that allow us to find exact values of trigonometric functions.
The Reference Triangle Method
The reference triangle method involves finding a right triangle with angles and sides related to the given angle, and then using the ratios of those sides to evaluate the function. The 45-45-90 triangle is a special right triangle that has two angles of 45 degrees and hypotenuse and legs that are related by a constant ratio. By using this triangle as a reference, we can find exact values for trigonometric functions of 45 degrees.
Finding the Reference Triangle
To find the reference triangle for 45 degrees, we can start with a square with side length 1. If we draw the diagonal of the square, we get two right triangles, both of which have an angle of 45 degrees. We can choose one of these triangles as our reference triangle, as shown in the diagram:
In this triangle, the hypotenuse has length √2, and the legs have length 1. We can use these values to find the exact value of the cotangent of 45 degrees.
Evaluating Cot 45°
Cotangent is the ratio of the adjacent side to the opposite side of a right triangle. In our reference triangle, the adjacent side to the 45-degree angle is 1, and the opposite side is also 1. Therefore, the cotangent of 45 degrees is:
So, the exact value of cot 45 degrees is 1. We didn't need a calculator to evaluate this function; we used the reference triangle method instead.
Other Uses of the Reference Triangle Method
The reference triangle method can also be used to evaluate trigonometric functions of other angles. For example, a 30-60-90 triangle can be used as a reference for finding the exact values of sine, cosine, and tangent of 30 and 60 degrees. Similarly, a 3-4-5 triangle can be used as a reference for finding the exact values of sine, cosine, and tangent of 37 and 53 degrees.
Overall, the reference triangle method is a powerful tool for evaluating trigonometric functions without using a calculator. It relies on the use of special triangles with related sides and angles, which allow us to find exact values for a variety of functions. By mastering this method, you'll improve your problem-solving skills and gain a deeper understanding of trigonometry.
Comparing the Methods of Evaluating Cot 45°
The Calculator Method
The most common method of evaluating mathematical functions like cotangents is by using a calculator. This electronic device can solve complex equations in a matter of seconds, making it an essential tool for different fields of study. However, in the field of mathematics, relying on calculators alone can hinder one's abilities to comprehend and appreciate the underlying concepts of different mathematical operations.
The Value of Concepts
Mathematical concepts are not just arbitrary sets of rules and formulas but rather a system of understanding that serves as a foundation for solving numerical problems effectively. By grasping these concepts, individuals can derive solutions without depending on calculators, which help keep the mind sharp and trained. The primary concept that we will use to evaluate cot 45° is the ratios in a reference triangle. By understanding this, we can evaluate cot 45° without utilizing a calculator.
Understanding Ratios in a Triangle
Before comprehending how to evaluate cot 45°, students must first understand the significance of ratios in a triangle. In a right-angled triangle, three sides correspond to three different ratios of lengths (opposite side, adjacent side, and hypotenuse). These ratios determine the values of different trigonometric functions such as sine, cosine, and tangent.
Sine Function and Ratios
The sine function (sinθ) represents the ratio of the opposite side of any angle θ to its hypotenuse, expressed mathematically as sinθ = Opposite Side/Hypotenuse. A ratio of 1:2 means the opposite side is half the length of the hypotenuse.
Cosine Function and Ratios
The cosine function (cosθ) of an angle in a right-angled triangle is equal to the length of its adjacent side divided by the length of its hypotenuse, or cosθ = Adjacent Side/Hypotenuse.
Tangent Function and Ratios
The tangent function (tanθ), on the other hand, represents the ratio of the opposite side of an angle θ to its adjacent side, expressed mathematically as tanθ = opposite side/adjacent side.
Evaluating Cot 45° using Ratios
Let us evaluate the cotangent of 45° by utilizing the ratios in a reference triangle. First, we need to draw a right-angled triangle whose base and height are equal. Assume that both the base and the height equal one, as shown in the table below:
| Side | Length | Ratio |
|---|---|---|
| Opposite Side | 1 | 1 |
| Adjacent Side | 1 | 1 |
| Hypotenuse | √2 | √2/1 |
As shown in the table above, the hypotenuse equals √2. Therefore, the cotangent of 45° (cot 45°) is equivalent to the ratio of the adjacent side to the opposite side, expressed mathematically as cot 45° = adjacent side/opposite side. Thus, cot 45°= 1/1 or 1.
Final Thoughts
In conclusion, evaluating cot 45° is doable by utilizing ratios in a reference triangle. By doing this, students not only develop problem-solving skills but also solidify their knowledge of trigonometric concepts. Although calculators can provide convenience, grasping and understanding underlying concepts can help individuals grow into proficient mathematicians.
Evaluate Cot 45° Without Using A Calculator By Using Ratios In A Reference Triangle
Introduction
The cotangent (cot) function is one of the six trigonometric functions. It is a ratio of the adjacent side to the opposite side of a right-angled triangle. But, how do we evaluate the value of cot 45° without using a calculator? In this tutorial, I will show you how to do just that by using ratios in a reference triangle.The Concept of Cotangent
Before diving into evaluating cot 45°, let's understand what cotangent is. The cotangent of an angle in a right-angled triangle is the ratio of the adjacent side and the opposite side to that angle.In mathematical terms, cot(A) = adjacent/opposite, where A is the angle.The Reference Triangle
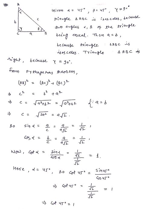
To evaluate the value of cot 45°, we need to create a reference triangle. In a reference triangle, we take one of the angles as the reference angle, and we label all sides of the triangle accordingly.For the sake of this tutorial, we will take 45° as our reference angle. We can create a reference triangle by taking a square with sides of length 1. We cut the square diagonally to create two right-angled triangles. One of these triangles will have angles of 45°, 45°, and 90°.Labeling the Sides
Now that we have our reference triangle, we need to label its sides. We can label the hypotenuse as c (which has a length of √2 as it is opposite to the 90° angle).We can also label one of the other sides as a (as it is adjacent to the 45° angle). The third side (which is opposite to the 45° angle) can be labeled as b.Using Ratios to Find Cot
To evaluate cot 45°, we need to use the ratios of the sides of the reference triangle. As we know, cot(A) = adjacent/opposite. In this case, A is 45°. So, cot(45°) = adjacent/opposite.We can substitute the values we labeled earlier. The adjacent side (a) is equal to 1 (as we formed the reference triangle by cutting a square of unit length diagonally). The opposite side (b) is also equal to 1.Therefore, cot(45°) = 1/1.Simplifying the Ratio
The ratio of 1/1 can be simplified as 1. So, the value of cot 45° is 1.Therefore, cot 45° = 1.Conclusion
In conclusion, evaluating cot 45° without using a calculator is easy. By using a reference triangle and knowing the concept of cotangent, we can find the value of cot 45°. This method can also be used to evaluate other trigonometric functions at different angles. By practicing more problems, you can increase your proficiency in solving such problems without using a calculator.Evaluate Cot 45° Without Using A Calculator By Using Ratios In A Reference Triangle
Trigonometry is an essential branch of mathematics. It deals with the study of triangles and the relationships between their sides and angles. One of the essential trigonometric functions is cotangent, abbreviated as cot. Cotangent is defined as the ratio of adjacent to opposite sides of a right triangle.
The value of cotangent of an angle is vital in various fields such as engineering, physics, and navigation. In this blog post, we will evaluate the value of cot 45° without using a calculator by using ratios in a reference triangle.
Hence, to proceed, we need to understand what is meant by a reference triangle. A reference triangle is an imaginary right triangle that is used as a comparison while dealing with a particular angle. For instance, since the angle 45° is half of the right angle, we can form a reference triangle by bisecting it with a perpendicular.
To evaluate cotangent, we first need to identify the adjacent and opposite sides in the reference triangle. The adjacent side refers to the side that is next to the given angle, while the opposite side is the side that is opposite the angle. In this case, the adjacent and opposite sides are the same since we have bisected the right angle forming two congruent angles.
Therefore, we can use the Pythagorean theorem to find the length of the hypotenuse. The Pythagorean theorem states that the square of the hypotenuse is equal to the sum of the squares of the other two sides (a² + b² = c²).
Substituting the adjacent and opposite sides for a and b, respectively, we get:
a² + b² = c²
Lets substitute since a = b
2a² = c²
a² = c²/2
Since we need the value of cot 45°, we use the ratio of adjacent to opposite sides.
cot 45° = adjacent/opposite
From the right triangle created, we know that adjacent = opposite = a. Thus:
cot 45° = a/a = 1
Therefore, the value of cot 45° is 1.
In conclusion, using ratios in a reference triangle, we have been able to evaluate the cotangent of 45° without using a calculator. By understanding the fundamentals of trigonometry and mastering the relationships between the sides and angles of a triangle, you can evaluate various trigonometric functions with ease. It is also essential to note that this method can be used to evaluate tangent and other trigonometric functions as well.
Thank you for reading this blog post. We hope you found it informative and useful. If you have any questions or comments, please feel free to leave them below.
People Also Ask about Evaluate Cot 45° Without Using A Calculator By Using Ratios In A Reference Triangle
What is cotangent (cot)?
The cotangent (cot) of an angle is the ratio of the adjacent side and opposite side of a right triangle. It is the reciprocal of the tangent (tan) of that angle.
How can you evaluate cot 45° without a calculator?
To evaluate cot 45° without using a calculator, you need to use ratios in a reference triangle.
- Draw a right triangle with one angle of 45 degrees.
- Label the adjacent side as length x.
- Label the opposite side as length x as well.
- Use the Pythagorean theorem to find the length of the hypotenuse, which is the square root of (x^2 + x^2) or sqrt(2x^2).
- Use the definition of cotangent: cot(45°) = adjacent/opposite = x/x = 1.
What is the importance of knowing how to evaluate cot 45° without using a calculator?
Knowing how to evaluate trigonometric functions like cotangent without a calculator is useful in many fields, such as engineering, architecture, physics, and computer science. It also helps to develop mental math skills and problem-solving abilities.
Post a Comment for "Mastering Trigonometry: How to Evaluate Cot 45° using Ratios in a Reference Triangle Without a Calculator"